5(4)-아미노-4(5)-imidazolecarboxamide 염산염 CAS 72-40-2 Dacarbazine 및 Temozolomide 중간 고품질
고순도 및 상업생산이 가능한 제조업체
테모졸로마이드 및 관련 중간체 공급:
테모졸로마이드 CAS: 85622-93-1
4(5)-아미노-5(4)-이미다졸카르복사미드 CAS: 360-97-4
5(4)-아미노-4(5)-이미다졸카르복스아미드 염산염 CAS: 72-40-2
| 화학명 | 5(4)-아미노-4(5)-이미다졸카르복스아미드 염산염 |
| 동의어 | 5(4)-아미노-4(5)-(아미노카르보닐)이미다졸 염산염 |
| CAS 번호 | 72-40-2 |
| 고양이 번호 | RF-PI239 |
| 재고현황 | 재고 있음, 생산 규모 최대 톤 |
| 분자식 | C4H7ClN4O |
| 분자량 | 162.58 |
| 브랜드 | 루이푸 화학 |
패키지: 병, 알루미늄 호일 백, 판지 드럼, 25kg/드럼 또는 고객 요구 사항에 따라.
보관 조건:밀봉된 용기에 담아 서늘하고 건조한 곳에 보관하십시오. 빛, 습기 및 해충 침입으로부터 보호하십시오.


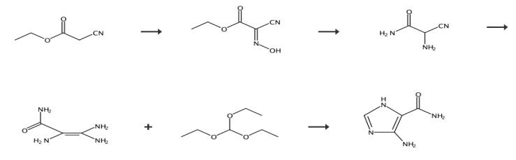
Shanghai Ruifu Chemical Co., Ltd.는 고품질의 5(4)-아미노-4(5)-imidazolecarboxamide 염산염(CAS: 72-40-2)의 선도적인 제조업체이자 공급업체입니다. 5(4)-아미노-4(5)-이미다졸카르복사미드 염산염(CAS: 72-40-2)은 일반적으로 다카르바진(CAS: 4342-03-4) 및 테모졸로마이드(CAS: 85622-93-1) 합성에서 중간체입니다.
5-아미노-4-이미다졸카르복사미드 염산염은 또한 핵산 합성의 전구체입니다.
테모졸로미드(TMZ)(CAS: 85622-93-1)는 다형성 교모세포종(GBM) 및 성상세포종, 전이성 흑색종을 치료하는 데 사용되는 경구용 알킬화제입니다.





