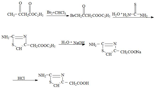
(2-아미노-4-티아졸릴)아세트산(ATAA) CAS 29676-71-9 순도 >99.5%(HPLC) Cefotiam 중간체 공장
고품질, 상업 생산을 통한 제조업체 공급
화학명: (2-아미노-4-티아졸릴)아세트산 CAS: 29676-71-9
| 화학명 | (2-아미노-4-티아졸릴)아세트산 |
| 동의어 | ATAA; (2-아미노티아졸-4-일)아세트산; 2-아미노티아졸-4-아세트산; 2-아미노-4-티아졸 아세트산 |
| CAS 번호 | 29676-71-9 |
| 고양이 번호 | RF-PI1112 |
| 재고현황 | 재고 있음, 생산 규모 최대 톤 |
| 분자식 | C5H6N2O2S |
| 분자량 | 158.18 |
| 브랜드 | 루이푸 화학 |
패키지: 병, 알루미늄 호일 백, 25kg/카드보드 드럼 또는 고객 요구 사항에 따라.
보관 조건:밀봉된 용기에 담아 서늘하고 건조한 곳에 보관하십시오. 빛과 습기로부터 보호하십시오.


(2-아미노-4-티아졸릴)아세트산(CAS: 29676-71-9)은 세포티암의 중간체로 사용될 수 있습니다. Cefotiam은 항생제의 3세대 베타-락탐 세팔로스포로, 광범위한 그람 양성균과 그람 음성균 모두에 대해 활성을 가집니다. 반합성 세팔로스포린은 주사용 이염산염으로 제제화되고 경구 투여용 전구약물 에스테르인 세포티암 헥세틸로 제제화됩니다. 활성은 세푸록심과 유사하지만 다양한 장내 세균에 대해 다소 더 활성이 있습니다.





