이름: 1-메틸피라졸-4-보론산 피나콜 에스테르
CAS: 761446-44-0
순도: >99.0%(GC)
외관 : 흰색 ~ 밝은 노란색 분말
고품질, 상업 생산
이메일-메일: alvin@ruifuchem.com
화학명: 알릴보론산 피나콜 에스테르
CAS: 72824-04-5
순도: >98.0%(GC)
외관: 무색 내지 담황색 액체
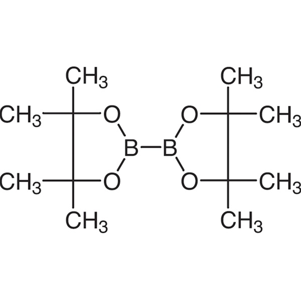
화학명: 비스(피나콜라토)디보론
CAS: 73183-34-3
순도: >99.5%(GC)
외관: 백색 분말
화학명: 9,9-디메틸플루오렌-2-보론산
CAS: 1001911-63-2
순도: >98.0%
외관: 흰색에서 밝은 노란색 결정 분말
CAS: 333432-28-3
순도: >97.0%
외관: 꺼짐-백색 고체 분말
화학명: 1-피레네보론산
CAS: 164461-18-1
순도: >95.0%
흰색~연한 노란색~연한 갈색 분말
연락처: Alvin Huang 박사
모바일/위챗/WhatsApp: +86-15026746401
화학명: 9-페난트렌보론산
CAS: 68572-87-2
외관: 백색 고체 분말
화학명 : 아세탈
CAS: 105-57-7
외관: 무색 투명한 액체
화학명: 클로로아세트알데히드 디에틸 아세탈
CAS: 621-62-5
외관: 투명한 무색~연황색 액체
화학명: 아미노아세트알데히드 디에틸 아세탈
CAS: 645-36-3
이름: 4-클로로부티르알데히드 디에틸 아세탈
CAS: 6139-83-9
순도: >97.5%(GC)
외관: 무색~매우 연한 노란색의 투명한 액체
알모트립탄 말레이트의 중간체(CAS: 181183-52-8)
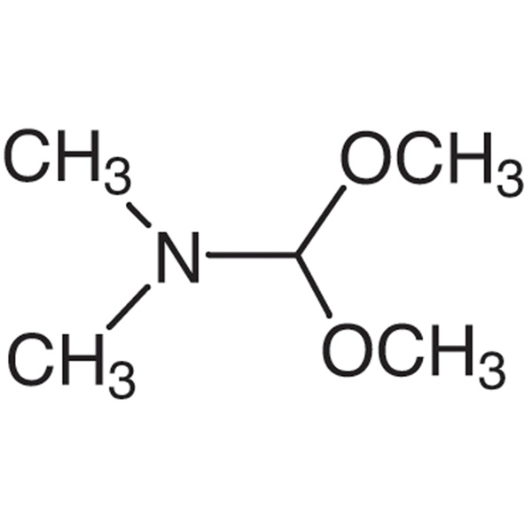
N,N-디메틸포름아미드 디메틸 아세탈
동의어: DMF-DMA
CAS: 4637-24-5
화학명: 2-클로로메틸-1,3-디옥솔란
CAS: 2568-30-1
외관: 무색 또는 담황색 투명한 액체
화학명 : 브로모아세트알데히드 에틸렌 아세탈
동의어: 2-브로모메틸-1,3-디옥솔란
CAS: 4360-63-8