라베프라졸 하이드록시 화합물 CAS 675198-19-3 순도 >99.0%(HPLC) 공장
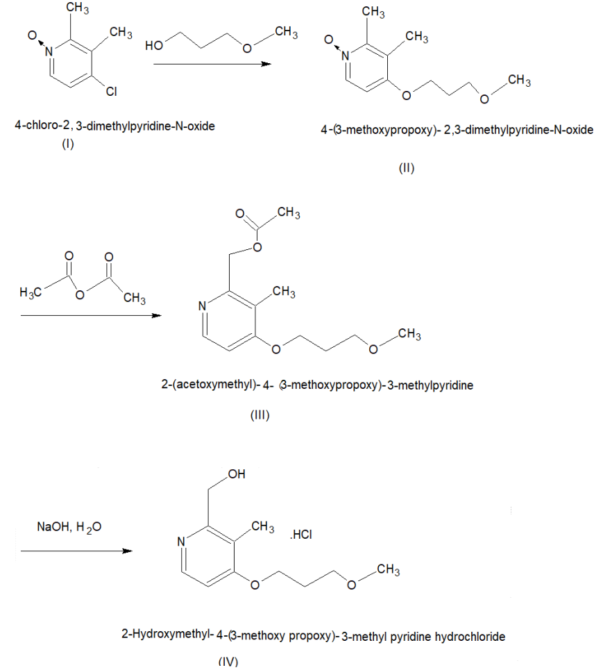
Shanghai Ruifu Chemical은 고품질의 Rebeprazole Sodium(CAS: 117976-90-6) 중간체를 포함하는 [4-(3-Methyoxypropoxy)-3-Methyl-2-Pyridinyl]메탄올 염산염(라베프라졸 하이드록시 화합물)(CAS: 675198-19-3)의 선도적인 제조업체입니다. Ruifu Chemical은 고급 고품질 의약품 중간체 및 활성 의약품 성분(API)을 제공합니다.
Ruifu Chemical은 전세계 배송, 경쟁력 있는 가격, 우수한 서비스, 소량 및 대량 수량을 제공할 수 있습니다. Rabeprazole 나트륨 중간체 구매, 문의처: alvin@ruifuchem.com
| 화학명 | [4-(3-메티옥시프로폭시)-3-메틸-2-피리디닐]메탄올 염산염 |
| 동의어 | 라베프라졸 하이드록시 화합물; (4-(3-메톡시프로폭시)-3-메틸피리딘-2-일)메탄올 염산염; 4-(3-메톡시프로폭시)-3-메틸피리딘-2-메탄올 염산염 |
| CAS 번호 | 675198-19-3 |
| 재고현황 | 재고 있음, 생산 규모 최대 톤 |
| 분자식 | C11H18ClNO3 |
| 분자량 | 247.72 |
| COA 및 MSDS | 가능 |
| 제품의 원산지 | 중국 상하이 |
| 유통기한 | 올바르게 보관한 경우 24개월 |
| 제품 카테고리 | 제약 중간체 |
| 브랜드 | 루이푸 화학 |
| 품목 | 사양 | 결과 |
| 외관 | 연한 노란색 결정성 분말 | 연한 노란색 결정성 분말 |
| 분석 / 분석 방법 | >99.0%(HPLC) | 99.7% |
| 건조 감량 | <0.50% | 0.23% |
| 점화 잔류물 | <0.20% | 0.06% |
| 모든 단일 불순물 | <0.50% | <0.50% |
| 총 불순물 | <0.50% | 0.30% |
| 중금속(Pb) | <20ppm | <20ppm |
| 결론 | 제품은 테스트를 거쳤으며 주어진 사양을 준수합니다. | |
| 사용법 | 레베프라졸 나트륨 중간체 (CAS: 117976-90-6) | |
패키지: 병, 알루미늄 호일 백, 25kg/Cardboard Drum 또는 고객 요구 사항에 따라
보관 조건:밀봉된 용기에 담아 서늘하고 건조한 곳에 보관하십시오. 빛과 습기로부터 보호하세요


[4-(3-메티옥시프로폭시)-3-메틸-2-피리디닐]메탄올 염산염, 라베프라졸 히드록시 화합물, (CAS: 675198-19-3)은 레베프라졸 나트륨(CAS: 117976-90-6)의 중간체입니다. 라베프라졸나트륨아졸캔커는 일본 에자이(Eisai)사가 최초로 성공적으로 개발한 레이벨라졸 나트륨염 형태의 양성자 펌프 억제제 계열로, 파력(wave force)에 대한 상품명으로, 양성자 펌프 억제제의 역할은 안정적인 질병 부위의 위산 분비를 감소시켜 위와 십이지장 궤양 및 위식도 역류 질환 효과를 치료하는 것입니다. 위십이지장 궤양 선별, 소화성 궤양, 위식도 역류 질환, 주오예 증후군 등과 같은 산성 질환의 임상 치료에 주로 사용됩니다. 레베프라졸 나트륨은 오메프라졸에 비해 작용 개시가 빠르지만 작용 지속 시간은 짧습니다. 라베프라졸은 벤즈이미다졸 대체제로서 위 벽세포의 양성자 펌프에 결합해 위산 분비를 억제한다. 이 제품은 위산 생성의 핵심 효소인 아데노신 삼인산의 작용을 억제합니다. 자극으로 인한 염기성 위산과 위산의 분비를 억제할 수 있습니다.





