화학명: ADA 모노나트륨 염
CAS: 7415-22-7
순도: >99.0%(적정)
외관: 백색 결정성 분말
생물학적 완충액, 초순수 등급
연락처: Alvin Huang 박사
모바일/위챗/WhatsApp: +86-15026746401
이메일-메일: alvin@ruifuchem.com
화학명: ADA 이나트륨 염(ADA·2Na)
CAS: 41689-31-0
순도: >98.0%(적정)
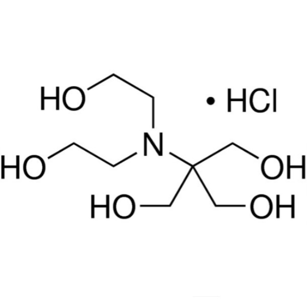
화학명: 비스-트리스 프로판
CAS: 64431-96-5
생물학적 완충액, 엑스트라퓨어
화학명: Bis-트리스 염산염
동의어: Bis-Tris-HCl
CAS: 124763-51-5
생물학적 완충액, 생명공학 등급
화학명: Gly-Gly.HCl.H2O
CAS: 23273-91-8
순도: >99.0%(NaOH로 적정, 무수)
순도: >99.0%(HPLC)
외관: 백색 분말
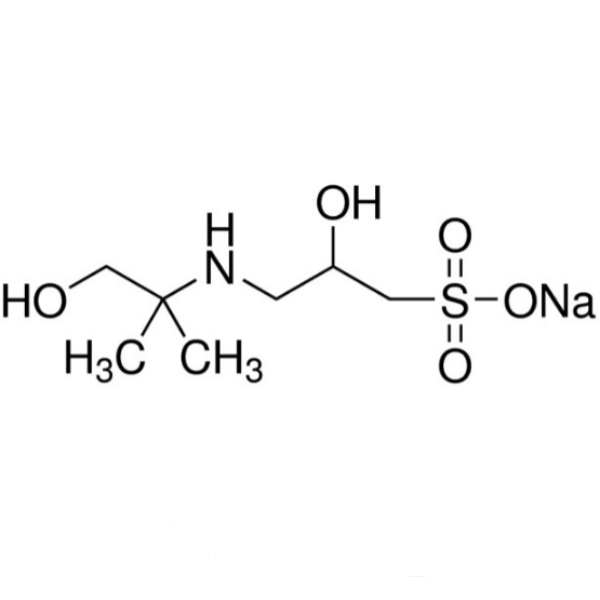
화학명 : AMPSO 나트륨 염
CAS: 102029-60-7
순도: >98.0%(H2SO4로 적정, 무수)
생물학적 완충액 Extrapure
화학명: AMPSO
CAS: 68399-79-1
화학명 : DIPSO 나트륨 염
CAS: 102783-62-0
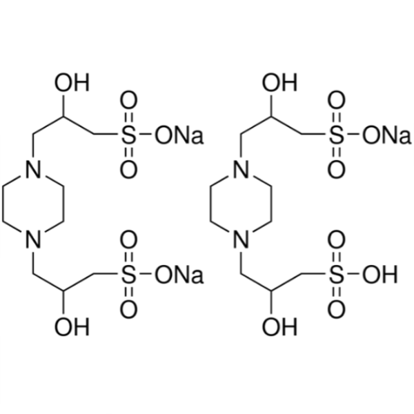
화학명 : POPSO Sesquisodium Salt
동의어: POPSO-1.5Na
CAS: 108321-08-0
생물학적 완충액, Extrapure, 상업용 생산
화학명 : MOPSO 나트륨 염
동의어: MOPSO-나
CAS: 79803-73-9
생물학적 완충액, 분자생물학 등급
화학명 : HEPPSO 수화물
CAS: 68399-78-0
생물학적 완충액 초순수 등급
화학명: 호모타우린
동의어: 트라미프로세이트
CAS: 3687-18-1
순도: >99.5%(적정)
백색 바늘 결정 또는 결정질 분말
고품질, 상업 생산
화학명 : TES 나트륨 염
동의어: TES-나
CAS: 70331-82-7
화학명 : TAPS 나트륨 염
CAS: 91000-53-2